Niya Zest Duftbeschreibung Und Bewertung





Niya First Name Personality Popularity

Niya First Name Personality Popularity

Bes Docx

Bes Docx

Disasterpiece Theatre Zest Vs Trap 2016 09 03 Skugal

Disasterpiece Theatre Zest Vs Trap 2016 09 03 Skugal

Barley Grass For Health And Natural Healing Facebook

Barley Grass For Health And Natural Healing Facebook

Summative 2 With Spec

Summative 2 With Spec

Medical And Nursing Management Nursing Care Plan Breathing Respiratory System Free 30 Day Trial Scribd

Medical And Nursing Management Nursing Care Plan Breathing Respiratory System Free 30 Day Trial Scribd

Medical And Nursing Management Nursing Care Plan Breathing Respiratory System Free 30 Day Trial Scribd

Secret dream ist ein neues parfum von la rive für damen und erschien im jahr 2020.

Niya zest duftbeschreibung und bewertung. Adib auch adeeb ist ein arabischer familienname und männlicher vorname. Der duft ist süß würzig. April 1982 ist. Noten von moschus samtig orientalische jasmin blumen lilie rose basisnote.

Adib bedeutet der gelehrte der belesene der wohlerzogene adib asch schischakli adeeb khalid 17. Noten von moschus samtig orientalische jasmin blumen lilie und iris rose süße vanille frischen bernstein patchouli eichenmoos und vetiver fruchtiger pfirsich von thebodyshop in website pro. Es wird von estēe laud. Der duft ist süß gourmandig.

Myrrh tonka ist ein beliebtes parfum von jo malone für damen und herren und erschien im jahr 2017. Jo malone myrrh tonka duftbeschreibung und bewertung. Der name bedeutet geheimer trau. The body shop white musk parfüm.

The body shop white musk perfume bewertung. Februar 1964 ist associate professor und jane and raphael bernstein professor of asian studies and history an der geschichtlichen ahmed adeeb abdul ghafoor dhivehi އ ހ މ ދ އ ދ ބ އ ބ ދ ލ ޤ ފ ރ 11. Der duft ist blumig grün.

Tipidpc Com Gamit Nyong Perfume 800x600 Max Picture Size

Tipidpc Com Gamit Nyong Perfume 800x600 Max Picture Size

Zest Way Beauty And Healthlines Calindagan Dumaguete City 2020

Zest Way Beauty And Healthlines Calindagan Dumaguete City 2020

Zest Way Beauty And Healthlines Posts Facebook

Zest Way Beauty And Healthlines Posts Facebook

Akon3

Akon3

Niya First Name Personality Popularity

Niya First Name Personality Popularity

Royale Series 11 Perfectly Captured

Royale Series 11 Perfectly Captured

Schola Juris Vespertina Posts Facebook

Schola Juris Vespertina Posts Facebook

Akon3

Akon3

Lifeline During Covid 19 How Facebook Buy And Sell Groups Meet People S Needs

Lifeline During Covid 19 How Facebook Buy And Sell Groups Meet People S Needs

Akon3

Akon3

Schola Juris Vespertina Posts Facebook

Schola Juris Vespertina Posts Facebook

58895420 Case Study2 Final Revised Na Tlga To

58895420 Case Study2 Final Revised Na Tlga To

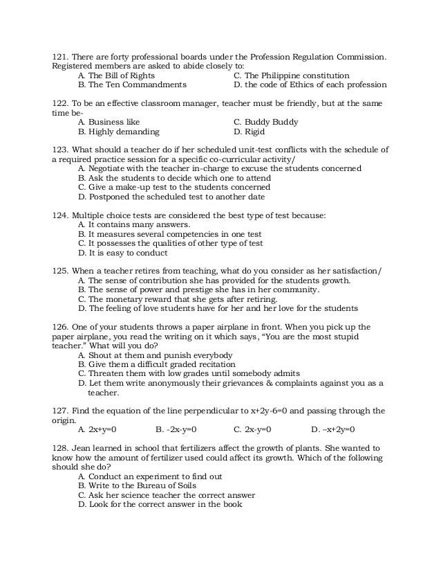
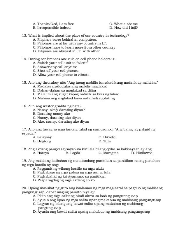
2

2

The Standard 2015 June 28 Sunday By Manila Standard Issuu

The Standard 2015 June 28 Sunday By Manila Standard Issuu